logo-trieste

Catalogo dei beni culturali

Musei civici del comune di trieste

Esplora il catalogo
Le Opere raccontano
Autori
Mostre virtuali
Richiesta immagini
help suggerimenti
search
close

Catalogo dei beni culturali

Musei civici del comune di trieste

Esplora il catalogo Le Opere raccontano Autori Mostre virtuali Richiesta immagini help
Home caret-right Esplora il catalogo

Esplora il catalogo

search
Vai alla ricerca avanzata
Reset
Musei e archivi

Fototeca dei Civici Musei di Storia ed Arte (1)

Oggetti

Fotografie (1)

Beni culturali

Positivo (1)

Epoca

1961-1980 d.C. (1)

Autori

Anonimo (1)

Filtri di ricerca filter-btn
1 oggetti nel catalogo
Anonimo
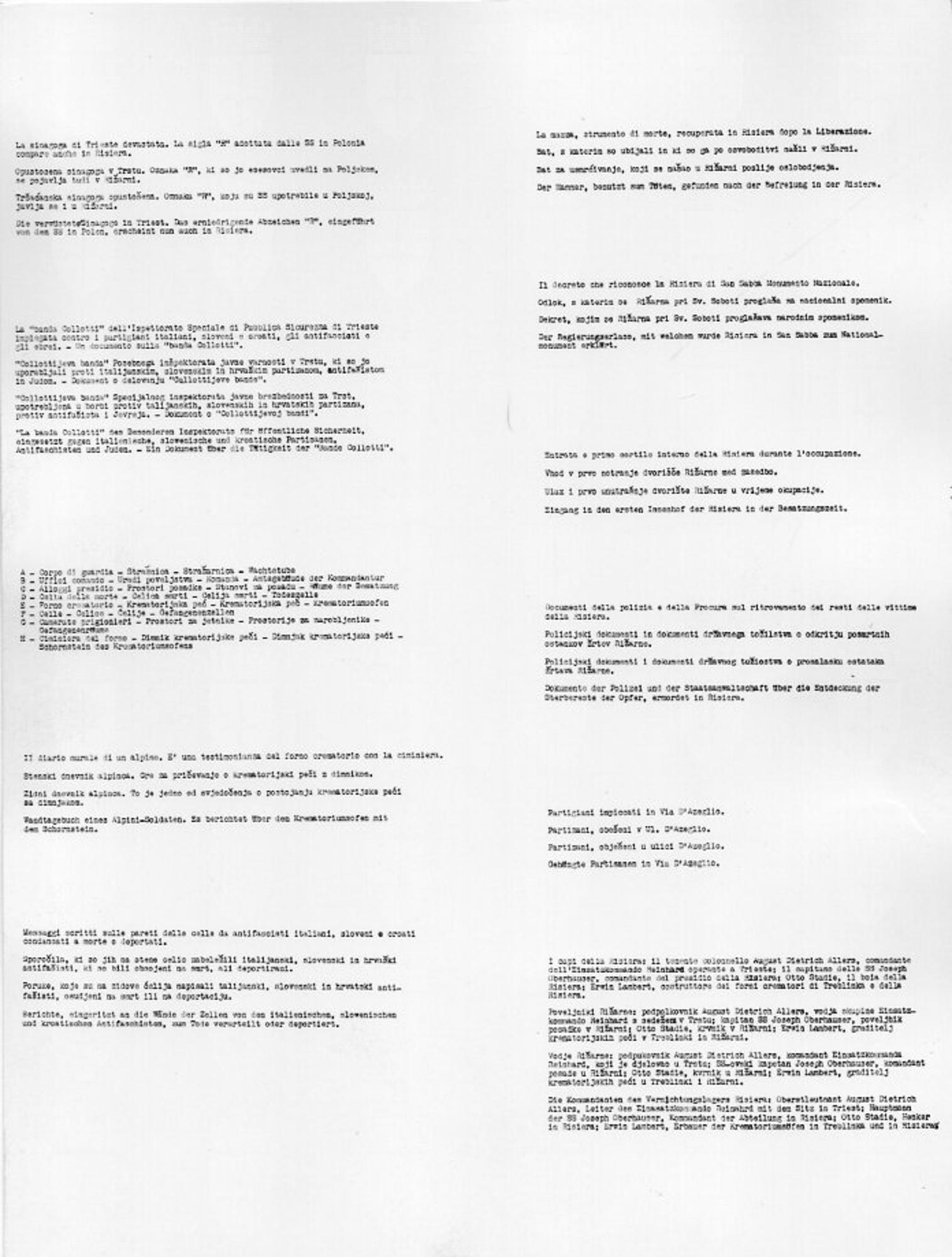
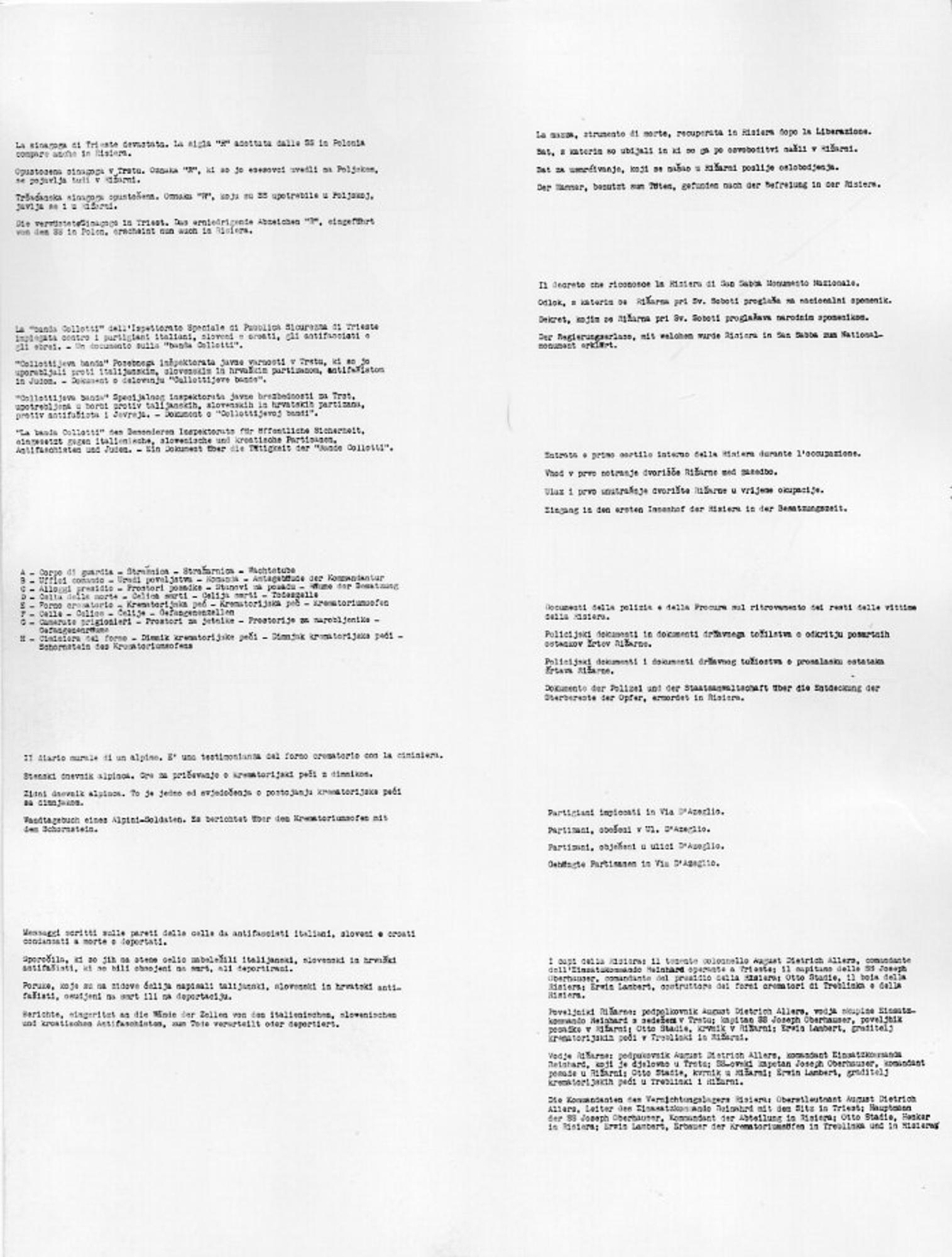
Copie fotografiche delle didascalie
Fototeca dei Civici Musei di Storia ed Arte
inv. RF000768
Positivo
1965 post; Trieste; Italia
Fototeca dei Civici Musei di Storia ed Arte
Anonimo
Copie fotografiche delle didascalie
Fototeca dei Civici Musei di Storia ed Arte
inv. RF000768
Positivo
1965 post; Trieste; Italia
Fototeca dei Civici Musei di Storia ed Arte
1
arrow-right
Catalogo dei Beni Culturali

MUSEI CIVICI DEL COMUNE DI TRIESTE

Esplora Catalogo
Le Opere raccontano
Autori
Mostre virtuali
Richiesta immagini

©2023 – Comune di Trieste

Chi Siamo Come si consulta il Catalogo Termini d’uso Privacy policy Cookie policy